
咨询电话:028-81458653
地址:成都市天府新区天府大道南段2917号御香山写字楼67栋7楼
QQ1:1823813619
QQ2:1293500025
传真:028-86787632
邮箱:sald01@jilongtec.com
TVS二极管的选型和应用测试计算实例发布日期:(2018-8-23) 点击次数:833 |
|
|
TVS二极管的选型和应用测试计算实例 君耀电子FAE: TVS二极管的选型和应用测试计算实例 很多工程师在电路设计时都会考虑到EMC,但是在ESD方面却是很少考虑或甚至不考虑。个人认为有些是产品特性或是成本原因不考虑防雷防静电,但据了解, 相当多的工程师特别是比较年轻的工程师都不知道TVS在电路保护中的重要性,有些工程师甚至都没听说过TVS管。大家都知道卫星高频头的生产车间对静电要 求不亚于手机的生产,但本人在做几年的LNB设计中都没接触过TVS,也是后来的工作中才慢慢接触到一些。理论上,大部分有可能会接触静电的电路都应该要 加TVS以保护,比如手机等数码产品,秋天就很容易接触人体大量静电;比如交换机等通信产品,一个闪电就很容易会在它们连接的线缆形成很强的脉冲波,这些 都很容易对电路构成威胁。下面我们就对TVS的一些应用知识进行简单的了解,希望通过简单的例子让大家对TVS有比较直观的认识。不同型号规格TVS的原 理都是一样,大家在选型的时候根据需要去找一下内部结构合适自己产品的型号和规格就可以了。以上观点如有不妥,请各位大侠包涵指点。
一、TVS二极管的选型步骤如下: 1.确定待保护电路的直流电压或持续工作电压。如果是交流电,应计算出最大值,即用有效值*1.414。 2.TVS的反向变位电压即工作电压(VRWM)--选择TVS的VRWM等于或大于上述步骤1所规定的操作电压。这就保证了在正常工作条件下TVS吸收的电流可忽略不计,如果步骤1所规定的电压高于TVS的VRWM ,TVS将吸收大量的漏电流而处于雪崩击穿状态,从而影响电路的工作。 3.最大峰值脉冲功率:确定电路的干扰脉冲情况,根据干扰脉冲的波形、脉冲持续时间,确定能够有效抑制该干扰的TVS峰值脉冲功率。 4.所选TVS的最大箝位电压(VC)应低于被保护电路所允许的最大承受电压。 5.单极性还是双极性-常常会出现这样的误解即双向TVS用来抑制反向浪涌脉冲,其实并非如此。双向TVS用于交流电或来自正负双向脉冲的场合。TVS有时也用于减少电容。如果电路只有正向电平信号,那麽单向TVS就足够了。TVS操作方式如下:正向浪涌时,TVS处于反向雪崩击穿状态;反向浪涌时,TVS类似正向偏置二极管一样导通并吸收浪涌能量。在低电容电路里情况就不是这样了。应选用双向TVS以保护电路中的低电容器件免受反向浪涌的损害。 6.如果知道比较准确的浪涌电流IPP,那么可以利用VC来确定其功率,如果无法确定功率的概范围,一般来说,选择功率大一些比较好。 二、交流电路电源保护计算实例 图1为微机电源采用TVS管作线路保护的原理图。
图1 微机电源部分原理图
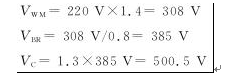
下面就图1中的线路保护加以说明。 ① 在进线的交流220 V处加双向TVS管D1,以抑制220 V交流电网中的尖峰干扰。双向TVS管D1的
选取D1时根据上述参数,通过查表即可得到。 ② 在变压器进线处加上抗干扰的电源线滤波器,以消除小尖峰干扰。 ③ 在变压器输出端交流20 V处加上双向TVS管D2,再一次抑制干扰。双向TVS管D2的
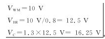
选取D2时根据上述参数,通过查表即可得到。 ④ 整流滤波输出直流10 V时,加上单向TVS管D3抑制干扰。单向TVS管D3的
选取D3时根据上述参数,通过查表即可得到。 通过如上4次抑制,得到了所谓的“净化电源”。为了防雷击等浪涌电压,还可在交流220 V进线端加上压敏电阻器,以便更有效地防止干扰进入计算机的CPU及存储器中,从而进一步提高系统的可靠性。
|
|
| 上一篇:村田电容标签日期怎么看? | 下一篇:LED照明系统的过压过流防护 |